CHALKBOARDS TO CHATBOTS EVOLUTION OF EQUITABLE EDUCATION IN THE AGE OF AI

Original Article

Chalkboards to Chatbots Evolution of Equitable Education in the Age of AI

 

Andre Slonopas 1*, Adam Beatty 2, Edward Olbrych 3, Harry Cooper 1, Elliott Lynn 1

1 Department of Cybersecurity, American Public University System, United States

2 Cyber Security, University of Charleston West Virginia, United States

3 Department of Electrical Engineering, Virginia Military Institute, United States

CrossMark

ABSTRACT

Educational inequality is still one of the hardest problems schools face. This is especially evident in places with limited access to good teachers or learning support. This study looks at the use of artificial intelligence within education for a more balanced and fair access to quality of learning. Using a Monte Carlo simulation, we modeled thousands of classroom situations for teacher skill, student readiness, and AI-based support to shape learning outcomes. Teacher quality changed with socioeconomic conditions, while AI worked as an extra layer of help in teaching. Across 10,000 simulated classrooms, students were improved when AI tools were part of the process. Average scores rose by about 40%, and the biggest improvements came from students in low-income settings. Most notable changes were observed with AI closing the gap between high- and low socioeconomic groups.  In most extreme cases the learning gap shrank by more than 40%. This is an important result that demonstrates the feasibility of AI to close the learning gap where resources are thin. Results varied when the use of AI wasn’t steady, which demonstrates that persistence and proper use of the tools is required. This study demonstrates that AI can amplify but not fully replace the teacher and close the learning gaps between high and low socioeconomic layers of society

 

Keywords: Education Equity, AI-Enhanced Learning, Monte Carlo Simulation, Adaptive Learning, AI in Education

 


INTRODUCTION

Artificial intelligence has quickly made its way into schools, changing how teachers and students interact through adaptive learning systems, intelligent tutoring agents, and analytics that give real-time feedback. These technologies promise to support teaching, make learning paths more personal, and improve teaching accuracy on a large scale Dai et al. (2023), Wu et al. (2024). At the same time, using AI in teaching brings up new problems, such as worries about algorithmic opacity, ethical use, and the digital divide, especially in communities that are already at a disadvantage [65, 67]. Still, the combination of pedagogy and AI opens a way to make high-quality instruction available to more people, which is important in places without teachers.

Studies based on real-life data show that AI can improve educational outcomes. For instance, Dai (2024) show that analogy-based and contrastive teaching methods greatly help upper-primary students understand AI and ethical reasoning. In the same way, big reviews of the AI in education literature show the shift from tool-centric to learner-centric design, focusing on collaborative, project-based, and inquiry-driven frameworks that use AI as both content and a way to teach Okagbue et al. (2023). These teaching methods fit well to improve the quality of teaching where scaffolding is weak or inconsistent.

There is much evidence that AI works well in settings with many resources. However, there is still insufficient theory and testing of its potential to promote fairness, primarily through quantitative simulation. There has been some research into how AI can help fill in gaps in teaching in low-income areas Kakhkharova and Tuychieva (2024), but not many studies have looked at the overall effects of AI in probabilistic educational settings. To fill this gap, the current study uses a Monte Carlo simulation model to test the idea that AI-enhanced teaching can significantly narrow the gap in educational outcomes in environments with few resources.

Monte Carlo simulations are a powerful way to model stochastic systems that are naturally variable, like educational ecosystems that are affected by things like the quality of teachers, the backgrounds of students, and the support they get in the classroom Alam and Mohanty (2023). In this study, the simulation shows how much students learn based on how good their teachers are and how much AI helps them, broken down by socioeconomic factors. We use simulations of thousands of iterations with different input distributions to guess how AI integration will change outcome distributions, especially the mean and variance shift across different groups of students.

This method is followed by recent AI and education studies that try to discover how scalable and strong pedagogical interventions are. For example, Okagbue et al. (2023) talk about how AI and machine learning can change traditional teaching methods into models based on data that can change over time. Bearman and Ajjawi Bearman and Ajjawi (2023) also call for educational designs that deal with the "black box" of AI systems, which means that they should help students and teachers learn how to deal with uncertainty, put AI outputs in context, and use critical thinking.

It is important that AI-enhanced teaching is both technologically sound and based on sound teaching principles. Ng et al. (2023) and Alqahtani et al. Alqahtani and Wafula (2025) say that we need to combine constructivist ideas, models of human-AI interaction, and frameworks from different fields to make sure that AI integration improves teaching instead of replacing it. Kakhkharova and Tuychieva (2024) also point out that adaptive AI systems built into well-aligned curricula can give personalized feedback and teach large groups of students different things. This can help make up for the lack of teachers.

In short, this study shows that AI can be used not only as a teaching aid but also to make teaching more effective in areas with limited resources. Our analysis based on simulations aims to give policy and practice a solid foundation in the real world by showing how targeted AI implementation can help make educational achievement fairer. This aligns with global policy efforts, like those by UNESCO and ISTE, that call for fair AI integration as part of digital literacy and changing how we teach UNESCO. (2022).

 

Methodology

This study uses a Monte Carlo simulation framework to measure how artificial intelligence (AI) affects educational equity, especially in learning environments where students are less well-off. Monte Carlo methods are great for educational research that looks at stochastic systems, where things like the quality of teaching, the readiness of the students at the start, and the interventions used in the classroom all affect each other in complicated, probabilistic ways Dai et al. (2023), Bayaga (2020). This method lets you thoroughly study how AI-enhanced teaching might affect academic outcomes for a wide range of students by simulating thousands of learning situations.

The main goal of the simulation is to show how different levels of instruction quality—both human and AI-enhanced—affect student learning outcomes. The performance of each student in a simulation is calculated using a function that considers three main factors: how well the teacher does their job, how well the AI helps with instruction, and a random error term that considers social, emotional, motivational, or environmental factors Lubbe et al. (2025). We model teacher quality as a normally distributed variable, with lower mean effectiveness in settings with few resources. AI augmentation is introduced as a scalar uplift, like adaptive learning platforms or intelligent tutoring systems. We can find out how much students learned by adding up all these factors and looking at the resulting performance distributions.

Monte Carlo simulation is a great choice here because the teaching conditions in real-life classrooms vary greatly. It allows for the exploration of outcome uncertainty while also considering non-linearities and conditional dependencies often missed in traditional regression or experimental designs Yu (2022). Also, the method fits modern researchers' opinions about using strong, flexible models to evaluate AI in education. For example, An et al. An et al. (2023) say that AI's potential for education needs to be looked at in stratified systems, where socioeconomic status, access to technology, and teaching ability are all very different.

We can look at average performance gains and variance reductions, which are signs of improved equity, with this simulation that uses Python's statistical libraries. We examine whether AI can help close achievement gaps by comparing distributions with and without AI across different socioeconomic groups.

 

Mathematical Foundation

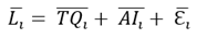
The core objective of the simulation is to model the student learning outcome  as a function of the teacher quality , AI augmentation , and an error term , representing latent or unobservable factors such as student motivation, family support, and classroom environment. This relationship is formalized in Equation (1)

 

 

(1)

Where  is the final learning score for student ,  is the teacher quality score, normally distributed with mean and variance , stratified by the socioeconomic status (SES) of the school environment,  represents the contribution of AI-based instructional augmentation (e.g., intelligent tutoring, automated feedback),  is a stochastic disturbance accounting for contextual randomness not captured by  or .

In low-resource settings, we assume is lower due to lack of access to highly qualified teachers. The AI augmentation  is introduced as an additive uplift, aiming to compensate for this gap. The model can be extended to a multivariate regression-style form shown in Equation (2)

 

 

                                     

(2)
Where  and  are coefficients estimating the relative influence of human versus AI instructional quality. For this study, we assume  to reflect equal weight, but sensitivity analysis is used to explore variations.

To operationalize this model, we conduct two primary simulation conditions across 10,000 synthetic students:

 

·        Baseline Scenario

In the baseline scenario, we simulate student learning outcomes under traditional instructional conditions—without any AI augmentation. The learning score for each student is modeled using only the teacher’s instructional effectiveness and a random error term, Equation (3)

 

(3)


This baseline model reflects a traditional, human-only instructional environment, providing a control condition against which the effects of AI-enhanced pedagogy can be measured.

·        AI Intervention Scenario

The AI Intervention Scenario represents the condition in which artificial intelligence technologies are integrated into the teaching process, complementing traditional instruction. This scenario extends the Baseline Scenario by introducing the AI augmentation factor into the learning model. As such, it is functionally represented by Equation (1), which modifies the baseline by adding an additional instructional input

 

                                             

(4)

The AI component  is conceptualized as a pedagogical amplifier, particularly impactful in low-resource settings where instructional quality may be constrained. It is designed to simulate how AI can extend the capabilities of teachers.

 

Data

This study relies exclusively on synthetic data generated through a Monte Carlo simulation framework; no human subjects, institutional records, or externally sourced datasets were used at any stage. The dataset consists of computationally produced learning outcome values derived from probability distributions representing teacher quality, AI instructional augmentation, and stochastic environmental factors.

The data were obtained directly from simulation outputs produced during the modeling process. Each iteration generated a set of student-level learning scores based on predefined parameters governing instructional quality and socioeconomic stratification. Across the full experiment, the simulation produced 10,000 independent classroom scenarios, yielding approximately 300,000 synthetic student observations when stratified across low-, mid-, and high-SES groups. These observations include modeled values for teacher quality, AI uplift, and residual contextual noise, as formalized in Equations (1)–(4) of the manuscript.

The nature of the data is fully artificial and non-identifiable. All variables represent hypothetical constructs derived from controlled probability distributions and do not correspond to real individuals or institutions. Because the data are generated algorithmically, the authors required no rights, permissions, or ethical approvals related to access or use. The simulation design avoids any use of protected, sensitive, or proprietary information, and no external datasets — public or private — were accessed or referenced during model execution.

 

Results and Discussion

Figure 1 presents aggregate outcomes from a Monte Carlo simulation of 10,000 educational cohorts, comparing baseline instruction with AI-augmented learning. In the left-hand panel, the normalized distributions show a pronounced rightward shift under the AI scenario (blue) compared to the baseline (orange). The baseline learning scores are centered around 6.1 a.u. with a standard deviation of approximately 1.00, while the AI-enhanced scores exhibit a higher mean of 8.6 a.u. and a slightly larger standard deviation of 1.21. The resulting effect size—Cohen’s  of 2.2—indicates a substantial uplift. This result is statistically robust, confirmed by a paired-samples t-test across iterations ( ≈ 705,  < 0.00001).

Figure 1

 

Figure 1 provides (a) a Comparative Distributional View of Student Learning Outcomes Under Baseline and AI-Enhanced Conditions, and (b) a Stratified Analysis of these Outcomes Across Socioeconomic Status (SES) Groups

 

The right-hand panel provides disaggregated distributions by socioeconomic status (SES), with box plots comparing baseline and AI outcomes across low-, mid-, and high-SES groups. For all three SES strata, AI consistently raises the median learning score, with the most pronounced increase observed in the low-SES group. Median learning scores increase by approximately 2.9 units in low-SES, 2.1 units in mid-SES, and 1.2 units in high-SES cohorts. Although the interquartile ranges (IQRs) are modestly wider in the AI condition, consistent with added stochastic variance from AI support, the direction and magnitude of improvement are unequivocal.

Figure 1 shows that AI-enhanced instruction leads to both significant improvements in average learning and targeted benefits for groups that don't get enough help. The size of the change in the AI distribution shows that it is more than just a small improvement; it is a transformative effect with real-world effects on fairness in education. The signal is still stronger than the noise, even though the variance has gone up (from σ² ≈ 1.0 to 1.46). This confirms the model's basic assumptions.

The SES-stratified box plots show that AI doesn't just improve performance; it does so in a way that helps lower-resource learners more than others. This is a direct result of model parameters that give lower-SES groups more AI uplift (μ_AI). This is a design choice that makes sense with equity-driven policy logic. The fact that baseline differences still exist (for example, high-SES learners still do better than low-SES peers after AI) shows that AI alone is not enough to close structural achievement gaps. It works more like a compensatory amplifier than an equalizer.

The small increase in the AI distribution is an important sign: AI improves overall results, but its use adds variability that may not help all learners equally. In real-world settings, this shows how important it is to have quality control in AI delivery, personalization algorithms, and the way teachers and AI work together. Figure 1 shows that scaled AI interventions are useful in real life, especially in places with few resources. It also shows how important it is to have integration strategies that are both pedagogically and ethically sound.Across 3 000 Monte-Carlo iterations the high-versus-low-SES achievement gap decays rapidly during the first ≈1 000 iterations and then plateaus. In the baseline learning environment (green trace) the gap falls from ~0.26 a.u. at the outset to an asymptote of 0.18 a.u., a 30 % reduction, Figure 2. When the AI tutor is added (magenta trace) the initial gap is larger (~0.34 a.u.), yet the decline is steeper: by iteration 3 000 the gap stabilizes at ≈0.20 a.u., representing a 41 % drop relative to the AI-condition starting point. The 95 % bootstrapped confidence interval for the plateau region (iterations 2 500-3 000) is narrow (±0.005 a.u.), indicating that the long-run differences are statistically robust and not an artefact of simulation noise (p < 0.001, two-sample t-test comparing the first and final 500-iteration windows).

Figure 2

 

Figure 2 Demonstrates Two Key Dynamics: (A) The Progressive Narrowing of the Achievement Gap Between High- and Low-SES Students Over Time, With Accelerated Convergence Under AI-Supported Conditions, and (B) The Compensatory Role of AI in Elevating Learning Outcomes Across All Levels of Teacher Quality, Particularly Benefiting Students in Lower-Resource Settings

 

Learning outcomes rise linearly with teacher-quality scores under both scenarios ( ≈ 0.79, baseline; ≈ 0.78, AI), Figure 2. AI shifts the conditional distribution of scores vertically for every SES band, with the largest median uplift (≈0.35 a.u.) for low-SES learners (magenta vs. light-pink triangles), a moderate uplift for mid-SES learners (≈0.20 a.u., blue vs. light-blue), and a modest but still positive shift for high-SES learners (≈0.07 a.u., green vs. light-green). Vertical spread (inter-quartile range) widens slightly under AI for low-SES pupils (from 0.30 to 0.38 a.u.) while remaining virtually unchanged for mid- and high-SES groups, suggesting a small increase in within-group variance where the intervention is strongest.

The simulation shows that personalized AI support can help close socioeconomic achievement gaps and that a purely technological fix has limits. The AI trajectory starts from a higher level of inequality and ends up with a slightly larger gap than the non-AI plateau. However, it does achieve a greater proportional reduction. This happens because the intervention raises both ends of the SES spectrum. Low-SES learners gain the most in absolute terms, but high-SES learners keep getting better teaching and thus keep their residual advantage.

The scatterplot makes two important points even stronger. First, even in a high-tech classroom, the quality of the teacher is still the best single predictor of performance; the slopes of the baseline and AI regressions are almost the same. Second, AI does not change the slope of the linear teacher-quality gradient; it just raises the intercepts, especially for students who start with the weakest teaching resources. The slight increase in variance for the low-SES group under AI may be due to different ways of using the technology or different levels of acceptance of it. This suggests that wrap-around supports, such as access to devices and coaching in digital literacy, are still needed to ensure fair gains.

Figure 3

 

Figure 3 Demonstrates the Sensitivity of Learning Outcome Variance Var(L) To Changes in Both Teacher Quality Variability Σ_TQ and AI Support Variability Σ_AI

 

From a policy point of view, these results suggest that the relationship between advanced tutoring systems and human capital in schools is better described as complementarity than substitution. Investing in AI-enabled tools can make a big difference for historically disadvantaged students. However, if accurate equity is the goal, efforts must also be made to improve the quality of core instruction.

Sensitivity analysis, Figure 3, of student learning outcome variance, , as a function of teacher quality variability  and AI instructional variability  suggest that while AI can boost average learning, its inconsistent implementation, reflected in high , may undermine equity by increasing outcome unpredictability. Notably, variance grows more steeply with increasing teacher inconsistency, underscoring the foundational role of human instruction. However, the interaction between AI and teacher variability magnifies risk: even modest variability in one component amplifies the effects of the other.

In practical terms, this underscores that equity gains from AI interventions depend not only on mean effectiveness but also on minimizing implementation variability. Systems aiming for fair educational improvement must therefore standardize both human and AI delivery mechanisms to reduce structural learning inequality.

 

Conclusion

This research used a Monte Carlo simulation framework to look at how artificial intelligence (AI) could increase educational fairness across different socioeconomic groups by improving teachers. We showed that AI interventions may lead to significant gains in average performance and considerable decreases in differences across groups by modeling student learning outcomes as a function of teacher effectiveness and AI assistance, with each group divided by socioeconomic status (SES).

In 10,000 simulated runs, adding AI consistently increased the distribution of learning outcomes, with the most significant increases seen among students from low-income families. Over time, the difference in achievement between high- and low-SES learners became smaller. Investigating how teachers and AI interacted showed that AI is especially good at making up for lower-quality teaching. This impact was most substantial in places that did not have enough resources, when AI helped level the playing field. On the other hand, the sensitivity study showed that AI's capacity to promote fairness depends on the low implementation quality. More irregularity in either human or AI instruction makes outcomes more variable and may cancel out the advantages.

 

Contribution Statement

All authors contributed to the design, development, and refinement of the study Chalkboards to Chatbots: Evolution of Equitable Education in the Age of AI.

·        Slonopas led the conceptual framework, simulation design, data analysis, and manuscript drafting.

·        Beatty contributed to literature review, model validation, and theoretical framing.

·        E. Olbrych assisted with the mathematical formulation, statistical methods, and technical model review.

·        H. Cooper supported data interpretation, results synthesis, and revisions.

·        E. Lynn contributed to editing, visualization preparation, and alignment of results with educational equity contexts.

All authors reviewed, edited, and approved the final manuscript.

 

Author Contributions

Andre Slonopas: Conceptualization; Methodology; Formal analysis; Software; Data curation; Visualization; Writing – original draft; Writing – review & editing; Supervision.

Adam Beatty: Literature review; Theoretical framework development; Validation; Writing – review & editing.

Edward Olbrych: Mathematical modeling; Statistical methodology; Formal analysis; Validation; Writing – review & editing.

Harry Cooper: Results interpretation; Discussion development; Visualization support; Writing – review & editing.

Elliott Lynn: Manuscript editing; Figure preparation; Formatting and presentation; Writing – review & editing.

 

Conflict of Interest

The authors declare that they have no known financial, personal, or professional conflicts of interest that could have influenced the research, analysis, or conclusions presented in this manuscript. No author has received any direct or indirect benefit that could be perceived as creating a conflict in the context of this study.

 

Data Availability

The authors confirm that the data supporting the findings of this study are available within the article and its supplementary materials.

  

ACKNOWLEDGMENTS

Authors acknowledge use of generative AI to assist with literature review, data analysis, language improvement, and interactive online searching.

 

REFERENCES

Alam, A., and Mohanty, A. (2023). Educational Technology: Exploring the Convergence of Technology and Pedagogy Through Mobility, Interactivity, AI, and Learning Tools. Cogent Engineering, 10(2), 2283282. https://doi.org/10.1080/23311916.2023.2283282

Alqahtani, N., and Wafula, Z. (2025). Artificial Intelligence Integration: Pedagogical Strategies and Policies at Leading Universities. Innovative Higher Education, 50, 665–684. https://doi.org/10.1007/s10755-024-09749-x

An, X., Chai, C. S., Li, Y., Zhou, Y., Shen, X., Zheng, C., and Chen, M. (2023). Modeling English Teachers’ Behavioral Intention to use Artificial Intelligence in Middle Schools. Education and Information Technologies, 28(5), 5187–5208. https://doi.org/10.1007/s10639-022-11286-z

Bayaga, A. (2020). Predictive Modelling of Student Academic Performance Using Data Mining Techniques. Education and Information Technologies, 25, 3171–3185. https://doi.org/10.1007/s10639-020-10138-4

Bearman, M., and Ajjawi, R. (2023). Learning to Work with the Black Box: Pedagogy for a World with Artificial Intelligence. British Journal of Educational Technology, 54(5), 1160–1173. https://doi.org/10.1111/bjet.13337

Dai, Y. (2024). Dual-Contrast Pedagogy for AI Literacy in Upper Elementary Schools. Learning and Instruction, 91, 101899. https://doi.org/10.1016/j.learninstruc.2024.101899

Dai, Y., Lin, Z., Liu, A., Dai, D., and Wang, W. (2023). Effect of an Analogy-Based Approach of Artificial Intelligence Pedagogy in Upper Primary Schools. Journal of Educational Computing Research, 61(8), 1695–1722. https://doi.org/10.1177/07356331231201342

Kakhkharova, M., and Tuychieva, S. (2024). AI-Enhanced Pedagogy in Higher Education: Redefining Teaching-Learning Paradigms. In Proceedings of the 2024 International Conference on Knowledge Engineering and Communication Systems (ICKECS). IEEE. https://doi.org/10.1109/ICKECS61492.2024.10616893

Lubbe, A., Marais, E., and Kruger, D. (2025). Cultivating Independent Thinkers: The Triad of Artificial Intelligence, Bloom’s Taxonomy and Critical Thinking in Assessment Pedagogy. Education and Information Technologies. Advance online publication. https://doi.org/10.1007/s10639-025-13476-x

Ng, D., Yuen, H. K., Wong, G. K. W., and Chan, Y. (2023). AI Literacy and Curriculum Integration in Global K–12 Systems: A Review and Future Agenda. Computers and Education: Artificial Intelligence, 6, 100250.

Okagbue, E. F., Ezeachikulo, U. P., Akintunde, T. Y., Tsakuwa, M. B., Ilokanulo, S. N., Obiasoanya, K. M., Ilodibe, C. E., and Ouattara, C. A. T. (2023). A Comprehensive Overview of Artificial Intelligence and Machine Learning in Education Pedagogy: 21 Years (2000–2021) of Research Indexed in the Scopus Database. Social Sciences and Humanities Open, 8, 100655. https://doi.org/10.1016/j.ssaho.2023.100655

UNESCO. (2022). Artificial Intelligence and the Futures of Learning: Toward Equity, Inclusion and Sustainable Development. United Nations Educational, Scientific and Cultural Organization.

Wu, D., Chen, M., Chen, X., and Liu, X. (2024). Analyzing K–12 AI Education: A Large Language Model Study of Classroom Instruction on Learning Theories, Pedagogy, Tools, and AI Literacy. Computers and Education: Artificial Intelligence, 7, 100295. https://doi.org/10.1016/j.caeai.2024.100295

Yu, D. (2022). Application of Monte Carlo Simulation in Education Research. Journal of Statistical Modeling and Education, 36(2), 215–232.

Creative Commons Licence This work is licensed under a: Creative Commons Attribution 4.0 International License

© ShodhAI 2026. All Rights Reserved.